Ożywienie w końcówce

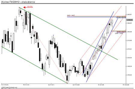
Wracając jeszcze do sesji piątkowej warto przypomnieć, że w jej trakcie doszło jedynie do naruszenia strefy oporu: 2392 – 2397 pkt. Z kolei na indeksie WIG20 fala wzrostowa wyhamowała w rejonie zniesienia 88.6%.

Obraz
Źródło zdjęć: © DM BZ WBK | DM BZ WBK

Wracając jeszcze do sesji piątkowej warto przypomnieć, że w jej trakcie doszło jedynie do naruszenia strefy oporu: 2392 – 2397 pkt. Z kolei na indeksie WIG20 fala wzrostowa wyhamowała w rejonie zniesienia 88.6%.

Popołudniowa faza handlu przebiegła natomiast już pod znakiem nieco większej aktywności podaży, co generalnie wyróżniało nas negatywnie na tle silnych rynków amerykańskich i europejskich.

W porannym fragmencie wczorajszego handlu podaż ponownie odznaczała się nieco większą aktywnością, ale te działania nie były na tyle wyraziste, by na FW20H12 mogło dojść do ukształtowania się silnego ruchu kontrującego. Co prawda niedźwiedziom udało się przedrzeć poniżej median line i lokalnej linii kanału trendowego (wykres intradayowy kontraktów), ale wygenerowany w ten sposób sygnał techniczny nie wywarł na uczestnikach rynku żadnego wrażenia. Wręcz przeciwnie, kontrakty powróciły w okolice zakresu: 2392 – 2397 pkt., gdzie rynek zaczął się konsolidować.

Kolejne godziny handlu przebiegły zatem pod znakiem ruchu bocznego i trzeba obiektywnie przyznać, że nie był to najciekawszy wycinek poniedziałkowej sesji. Z ruchem bocznym mieliśmy jednak także do czynienia w przypadku pozostałych parkietów europejskich, tak więc generalnie była to tendencja globalna. Panujący na GPW marazm (z niewielkimi obrotami w tle) sprawił zatem, że sesja przeistoczyła się w niezwykle nudne widowisko i zarazem całkowicie stracony dzień dla day-traderów.

Obraz
© (fot. DM BZ WBK)

Wszystko to prawda, ale niekoniecznie w kontekście końcowej fazy poniedziałkowych notowań. Na skutek wzrostu presji popytowej na warszawskim rynku doszło bowiem do wykrystalizowania się całkiem silnego ruchu cenowego. W efekcie kontrakty znalazły się ponad zakresem oporu: 2392 – 2397 pkt., zbliżając jednocześnie do kolejnego węzła podażowego Fibonacciego: 2422 – 2427 pkt. zbudowanego na bazie zniesienia 88.6%. W wyniku wzrostu aktywności byków w końcówce sesji zamknięcie FW20H12 uplasowało się na poziome 2409 pkt., czyli 10 punktów ponad piątkową ceną odniesienia.

Nadal przewagę techniczną zachowuje zatem obóz byków. Wydaje się, że oznaką wzrostu presji podażowej (i tym samym zapowiedzią pogłębienia się ruchu korekcyjnego) byłoby dopiero przełamanie znanej nam już zapory popytowej: 2354 – 2359 pkt. Strefa cechuje się nieco większym poziomem wiarygodności, gdyż we wskazanym rejonie przebiega także median line. Zlecenie zabezpieczające dla długich pozycji należałoby zatem utrzymywać niezmiennie kilka punktów poniżej poziomu 2354 pkt.

W kontekście możliwego wzrostu presji podażowej warto na pewno zwrócić w tej chwili uwagę na WIG20. Tak się bowiem złożyło, że indeks znalazł się wczoraj ponownie w okolicy pułapu cenowego 2394 pkt. wytyczonego na bazie zniesienia 88.6% (zamknięcie wypadło na poziomie 2390 pkt.). Co prawda jest to tylko pojedyncza zapora cenowa, niemniej już w miniony piątek mogliśmy przekonać się, że podaż wykazuje się tutaj zdecydowanie większą wolą walki.

Oczywiście w obliczu tak optymistycznych nastrojów panujących na rynkach nie ma pewności, że ponownie dojdzie tutaj do ukształtowania się lokalnego punktu zwrotnego. Inwestorzy wierzą również w pozytywne rozwiązanie problemów greckich i wydaje się, że to właśnie ten czynnik odgrywa w tej chwili istotną rolę. Ponieważ negatywny scenariusz nie jest w ogóle brany pod uwagę, to w przypadku jego urzeczywistnienia się na rynkach doszłoby z pewnością do wykreowania się niezwykle silnej fali przeceny. Na razie jednak nikt nie przejmuje się takim wariantem.

Siłą rzeczy, odnośnie bieżącego układu technicznego wykresu FW20H12, nie można w tej chwili koncentrować się na jakichś nowych elementach. Popyt ma ogromną przewagę, choć równocześnie kontrakty znalazły się ponownie w rejonie oddziaływania ważnej zapory podażowej: 2422 – 2427 pkt. (identyczną uwagę należy także sformułować w kontekście WIG-u 20). Niepokojącym czynnikiem byłoby zatem to, gdyby akurat w tym monecie doszło na warszawskim parkiecie do jakiegoś gwałtownego wzrostu presji podażowej (w przypadku FW20H12 sygnałem wskazującym na możliwość wykreowania się silnej podfali spadkowej byłoby dopiero zanegowanie znanej nam już zapory popytowej: 2354 – 2359 pkt.).

Paweł Danielewicz
Analityk Techniczny

| Dane prezentowane w niniejszym raporcie zostały uzyskane lub zaczerpnięte ze źródeł uznanych przez DM BZ WBK S.A. za wiarygodne, jednakże DM BZ WBK S.A. nie może zagwarantować ich dokładności i pełności. Niniejsze opracowanie i zawarte w nim komentarze są wyrazem wiedzy oraz poglądów autora i nie powinny być inaczej interpretowane. Dom Maklerski BZ WBK S.A. nie ponosi odpowiedzialności za szkody poniesione w wyniku decyzji podjętych na postawie informacji i opinii zawartych w niniejszym opracowaniu. Powielanie bądź publikowanie niniejszego opracowania lub jego części bez pisemnej zgody DM BZ WBK S.A. jest zabronione. |
| --- |

Wybrane dla Ciebie
To koniec słynnego ośrodka narciarskiego w Polsce. Idzie na sprzedaż
To koniec słynnego ośrodka narciarskiego w Polsce. Idzie na sprzedaż
Gigant w Niemczech zamyka centrum logistyczne. Pracę straci 2,7 tys. osób
Gigant w Niemczech zamyka centrum logistyczne. Pracę straci 2,7 tys. osób
Wysłali cebulę do Polski. Zarobili ok. 200 mln zł. Oto skąd pochodzi
Wysłali cebulę do Polski. Zarobili ok. 200 mln zł. Oto skąd pochodzi
Dostają mniej niż 500 zł emerytury. Problem tysięcy Polaków
Dostają mniej niż 500 zł emerytury. Problem tysięcy Polaków
Ile zarabia się w Niemczech? W tej branży płacą 37 tys. zł miesięcznie
Ile zarabia się w Niemczech? W tej branży płacą 37 tys. zł miesięcznie
Choinkę wyrzuć do konkretnego pojemnika. Wiedziałeś o tym?
Choinkę wyrzuć do konkretnego pojemnika. Wiedziałeś o tym?
Kiedyś byli gigantami fast food. Zamknęli ponad 1 tys. lokali
Kiedyś byli gigantami fast food. Zamknęli ponad 1 tys. lokali
Mieszkańcy są wściekli na Rydzyka. Opłaty na osiedlu w górę
Mieszkańcy są wściekli na Rydzyka. Opłaty na osiedlu w górę
Polacy kochają jej smak. Uwielbiana ryba jest coraz droższa
Polacy kochają jej smak. Uwielbiana ryba jest coraz droższa
Afera w Dino. Takie wytyczne mieli otrzymać pracownicy ws. urlopów
Afera w Dino. Takie wytyczne mieli otrzymać pracownicy ws. urlopów
Nawet 18 tys. zł miesięcznie. Czeski przewoźnik kusi zarobkami
Nawet 18 tys. zł miesięcznie. Czeski przewoźnik kusi zarobkami
"Wiemy, że jest inflacja". Ksiądz pokazał, co dostał w kopertach
"Wiemy, że jest inflacja". Ksiądz pokazał, co dostał w kopertach
MOŻE JESZCZE JEDEN ARTYKUŁ? ZOBACZ CO POLECAMY 🌟