Obrona wsparcia

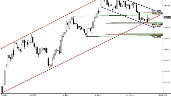
Na wstępie niniejszego opracowania warto odnieść się jeszcze do sesji środowej. W jej przedpołudniowej fazie bykom udało się bowiem przedrzeć ponad górne ograniczenie kilkudniowej konsolidacji. Wydawało się, że efektem tej akcji będzie test wyeksponowanej na wykresie zapory podażowej Fibonacciego: 2370 – 2374 pkt.

Wykres FW20Z12 – skala dzienna
Źródło zdjęć: © DM BZ WBK

Ten cel zostałby prawdopodobnie osiągnięty, gdyby nie nagły wzrost presji podażowej na rynkach amerykańskich. Tak więc zamiast kontynuacji ruchu wzrostowego kontrakty powróciły w końcówce sesji do znanego nam już korytarza cenowego: 2316 – 2322 pkt.

Faktem pozostaje jednak to, że bykom udało się po raz kolejny wybronić ten stosunkowo istotny przedział cenowy. Z załączonego wykresu wynika bowiem, iż przebiega tutaj także wiarygodna linia kanału trendowego. Zanegowanie wymienionego przedziału wskazywałoby na powolne umacnianie się podaży, co siłą rzeczy musiałoby znaleźć swoje odzwierciedlenie w postaci kontynuacji zapoczątkowanego 19. września ruchu spadkowego.
Przyglądając się z kolei przebiegowi sesji piątkowej można odnieść wrażenie, że na rynku panuje w tej chwili naprawdę wyraźna dezorientacja. Niby widać pewną determinację w kontekście obrony w/w zapory popytowej Fibonacciego, ale z drugiej strony obóz byków nie potrafi wykorzystać atrybutu związanego z istnieniem silnego wsparcia technicznego i zainicjować wiarygodnie wyglądającego impulsu cenowego.

Piątkowa sesja była tak naprawdę pokazem niezdecydowania inwestorów, co znajdowało swoje odzwierciedlenie w postaci krótkotrwałych i przeciwstawnych ruchów cenowych. Dopiero w końcowej fazie handlu bykom udało się w nieco wyrazistszy sposób zaakcentować swoją obecność.

Wykres FW20Z12 – skala dzienna
© Wykres FW20Z12 – skala dzienna (fot. DM BZ WBK)

Czynnikiem, który mógł z pewnością zaskoczyć była także bardzo wstrzemięźliwa reakcja rynków na lepsze dane miesięczne z amerykańskiego rynku pracy. Wystarczy w tym kontekście nadmienić, że po kilkunastu minutach handlu indeksy amerykańskie zeszły poniżej kreski. Gdy jednak za oceanem rozpoczęło się odrabianie strat, warszawski parkiet wyraźnie zareagował na tę próbę zniwelowania porannej przeceny w USA.

Ostatecznie po nieco lepszej dla byków końcówce zamknięcie grudniowej serii kontraktów wypadło na poziomie 2346 pkt. Stanowiło to ponad jednoprocentowy wzrost wartości FW20Z12 w relacji do środowej ceny odniesienia.

Trudno zatem w tej chwili mówić o zmianie wizerunku technicznego wykresu. Transakcje na kontraktach są zawierane ponad ważnym wsparciem, ale póki co nie odczuwamy jakiegoś większego zaangażowania popytu jeśli chodzi o proces kreowania ruchu odreagowującego. W moim odczuciu dopiero w przypadku zanegowania strefy oporu: 2370 – 2374 pkt. zbudowanej na bazie zniesienia 38.2% moglibyśmy uznać, że obóz byków przechodzi do kontrataku.

Negatywnie należałoby się natomiast ustosunkować do przełamania zapory popytowej: 2316 – 2322 pkt. Jak już wspominałem wcześniej, wiązałoby się to także z wybiciem poniżej wiarygodnej linii kanału trendowego. Jeśli powstałe naruszenie nie zostałoby szybko zanegowane, rynek wszedłby prawdopodobnie w kolejną fazę ruchu spadkowego.

Podsumowując, kontakty ponownie konsolidują się w tej chwili w wąskim korytarzu cenowym. Poprzedni trend boczny zakończył się przełamaniem ważnego wsparcia Fibonacciego (strefa: 2362 – 2368 pkt.) i jak do tej pory bykom nie udało się powrócić ponad wspomniany przedział. Warto w tym kontekście podkreślić, że istotną rolę zaczyna na wykresie odgrywać zielona Median Line (działa w tej chwili jako zapora podażowa). Test siły rynku wypadł zatem korzystanie dla popytu, gdyby w najbliższym czasie udało się sforsować wspomnianą ML wraz ze strefą: 2370 – 2374 pkt.

Na przebieg porannej fazy dzisiejszego handlu może jednak wpływać negatywnie piątkowa przecena za oceanem. Co prawda kontrakty na US Futures zyskują w tej chwili na wartości, ale trudno zakładać, by ten czynnik w pełni zneutralizował to, co wydarzyło się w piątek za oceanem. Od strony technicznej niebezpiecznie zrobiłoby się jednak dopiero w momencie wybicia się FW20Z12 poniżej znanego nam już zakresu wsparcia: 2316 – 2322 pkt.

Paweł Danielewicz
analityk techniczny
DM BZ WBK

| Dane prezentowane w niniejszym raporcie zostały uzyskane lub zaczerpnięte ze źródeł uznanych przez DM BZ WBK S.A. za wiarygodne, jednakże DM BZ WBK S.A. nie może zagwarantować ich dokładności i pełności. Niniejsze opracowanie i zawarte w nim komentarze są wyrazem wiedzy oraz poglądów autora i nie powinny być inaczej interpretowane. Dom Maklerski BZ WBK S.A. nie ponosi odpowiedzialności za szkody poniesione w wyniku decyzji podjętych na postawie informacji i opinii zawartych w niniejszym opracowaniu. Powielanie bądź publikowanie niniejszego opracowania lub jego części bez pisemnej zgody DM BZ WBK S.A. jest zabronione. |
| --- |

Wybrane dla Ciebie
Największy błąd przy dawaniu napiwków. To jak policzek dla kelnera
Największy błąd przy dawaniu napiwków. To jak policzek dla kelnera
To koniec ePUAP. Oto nowe metody komunikacji z ZUS-em
To koniec ePUAP. Oto nowe metody komunikacji z ZUS-em
Irańska rakieta uderzyła w statek. Na nim dwa tytuły płynące do Stanów
Irańska rakieta uderzyła w statek. Na nim dwa tytuły płynące do Stanów
Nalot policji na zakłady pracy w trzech województwach. Co wykryli?
Nalot policji na zakłady pracy w trzech województwach. Co wykryli?
Tajemnicza śmierć rolnika z Kosakowa. Sąd decyduje ws. śledztwa
Tajemnicza śmierć rolnika z Kosakowa. Sąd decyduje ws. śledztwa
Sprzedawcy udawali klientów? Związek deweloperów zabrał głos
Sprzedawcy udawali klientów? Związek deweloperów zabrał głos
Incydent na lotnisku Chopina. "Pasażer zaczął uciekać"
Incydent na lotnisku Chopina. "Pasażer zaczął uciekać"
"To skandal". Wpuściła go do sklepu na interwencję. Zwolnili ją z pracy
"To skandal". Wpuściła go do sklepu na interwencję. Zwolnili ją z pracy
Ile dać w kopercie na komunię? Polacy zabrali głos
Ile dać w kopercie na komunię? Polacy zabrali głos
Polacy uważają się za klasę średnią. Ich zarobki mówią co innego
Polacy uważają się za klasę średnią. Ich zarobki mówią co innego
Kiedy otwarcie Dino na Wilanowie? To usłyszeliśmy na infolinii
Kiedy otwarcie Dino na Wilanowie? To usłyszeliśmy na infolinii
"Skandal w Dino". Zwolnili ją z pracy. Wcześniej wpuściła posła
"Skandal w Dino". Zwolnili ją z pracy. Wcześniej wpuściła posła
ZATRZYMAJ SIĘ NA CHWILĘ… TE ARTYKUŁY WARTO PRZECZYTAĆ 👀