Naruszenie oporu

Wydaje się, że kluczowym wydarzeniem minionego tygodnia był poniedziałkowy atak podaży. Po kilku dniach uspokojenia rynek ponownie wszedł bowiem w silną fazę spadków, co dość dobrze wpisywało się w tendencję panującą na GPW już od kilku tygodni.

Obraz
Źródło zdjęć: © DM BZ WBK

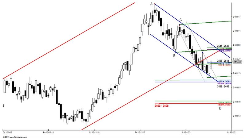
W następstwie takiej właśnie postawy podaży kontrakty zbliżyły się do kolejnej zapory popytowej Fibonacciego: 2458 – 2463 pkt. Indeks WIG20 tymczasem naruszył eksponowany przeze mnie obszar wsparcia: 2470 – 2480 pkt. wytyczony na bazie projekcji symetrycznego układu ABCD.

Co istotne, w rejonie zakresu: 2458 – 2463 pkt. na FW20H13 popyt zaczął odważniej przeciwstawiać się presji podażowej. Jak pamiętamy cała przedpołudniowa faza czwartkowego handlu była zdominowana przez kupujących, których działania rzeczywiście cechowały się bardzo ofensywnym nastawieniem. Niestety cały czas brakowało tej przysłowiowej kropki nad "i" w postaci zanegowania jakiejś wiarygodnej zapory podażowej Fibonacciego.

Z komentarzy pamiętamy, że tym eksponowanym zakresem cenowym był opór: 2507 – 2511 pkt. wraz z przebiegającą w tym rejonie Median Line. Niestety czwartkowa próba sforsowania w/w zakresu zakończyła się niepowodzeniem. Co ciekawe, również w piątkowy, przedpołudniowy atak popytu nie doprowadził do wyłamania (we wskazanym rejonie ukształtował się lokalny punkt zwrotny).

Trzeba jednak przyznać, że poza porannymi przepychankami cenowymi sesja miała generalnie nudny przebieg, a czynnikiem wpływającym na taki właśnie stan rzeczy był brak konkretnych informacji odnośnie ostatecznego kształtu budżetu UE negocjowanego na trwającym wówczas szczycie.

Obraz
© (fot. DM BZ WBK)

Sytuacja zmieniła się jednak diametralnie w końcówce piątkowego handlu. Przede wszystkim pojawiła się wreszcie informacja o osiągnięciu porozumienia odnośnie budżetu UE. Był to spory cios dla podaży, gdyż handel od razu przesunął się o kilka półek cenowych wyżej. Żadnej euforii zakupowej jednak nie odnotowaliśmy. Ostatnie minuty sesji przebiegły w wąskim korytarzu cenowym, ponad eksponowaną przeze mnie strefą oporu: 2507 – 2511 pkt.

Z załączonego wykresu wynika zatem, że wymieniony przedział cenowy został naruszony, choć do końca sesji kontrakty utrzymywały się w pobliżu tej właśnie zapory. Bykom wyraźnie brakowało zdecydowania. Również generowany na rynku kasowym wolumen obrotu nie wskazywał, że mamy do czynienia z jakimś przełomowy atakiem byków. Niemniej jednak zamknięcie kontraktów uplasowało się ponad strefą: 2507 – 2511 pkt., tak więc kupujący, pomimo dyskusyjnego i generalnie mało przekonującego stylu walki, osiągnęli wymierny sukces, który powinien teoretycznie w jeszcze większym stopniu mobilizować ich teraz do aktywnej walki.

O zakończeniu krótkoterminowego trendu spadkowego moglibyśmy jednak mówić dopiero w momencie sforsowania przedstawionej na wykresie strefy oporu: 2545 – 2549 pkt. Warto podkreślić, że oprócz zniesienia 38.2% (stanowiącego niewątpliwe główny element konstrukcyjny strefy), w pobliżu przebiegają także dwie linie: Median Line i linia kanału trendowego. W moim odczuciu mamy tutaj do czynienia z wiarygodnym przedziałem cenowym, gdzie należy liczyć się z możliwością wzrostu presji podażowej. Sforsowanie również i tej przeszkody wskazywałoby zatem, że obóz kupujących zdobywa coraz większą przewagę na rynku, co koniec końców znalazłoby zapewne swoje odzwierciedlenie w postaci kolejnego impulsu cenowego. Tymczasem warto na razie obserwować rynek w okolicy zakresu: 2507 – 2511 pkt. W tej chwili doszło bowiem jedynie do niewielkiego naruszenia strefy i bez wątpienia brakuje jeszcze ruchu, który przypieczętowałby to piątkowe zwycięstwo byków.

Intuicyjnie czujemy zatem, że w przypadku znalezienia się kontraktów ponownie poniżej poziomu 2507 pkt. i niemożności podjęcia kolejnych, aktywnych działań zakupowych wzrosłoby prawdopodobieństwo powrotu kontraktów na ścieżkę dominującego w ujęciu krótkoterminowym trendu rynkowego. W swoim pierwszym komentarzu online zaprezentuję strefę cenową, po przełamaniu której pogorszyłby się intradayowy wizerunek techniczny kontraktów.

Podsumowując, jeśli kupującym zabraknie w tej chwili konsekwencji i ich piątkowa akcja okaże się jedynie spontanicznym zrywem pozbawionym jakichś głębszych podstaw, podaż dość szybko powinna dostrzec słabość popytu i wykorzystać ten fakt na swoją korzyść. W tym kontekście ważny będzie właśnie przebieg dzisiejszej sesji, gdyż z punktu widzenia techniki przełamanie strefy: 2507 – 2511 pkt. powinno implikować ruch w kierunku kolejnego, kluczowego węzła podażowego: 2545 – 2549 pkt.

Paweł Danielewicz
analityk techniczny
DM BZ WBK

| Dane prezentowane w niniejszym raporcie zostały uzyskane lub zaczerpnięte ze źródeł uznanych przez DM BZ WBK S.A. za wiarygodne, jednakże DM BZ WBK S.A. nie może zagwarantować ich dokładności i pełności. Niniejsze opracowanie i zawarte w nim komentarze są wyrazem wiedzy oraz poglądów autora i nie powinny być inaczej interpretowane. Dom Maklerski BZ WBK S.A. nie ponosi odpowiedzialności za szkody poniesione w wyniku decyzji podjętych na postawie informacji i opinii zawartych w niniejszym opracowaniu. Powielanie bądź publikowanie niniejszego opracowania lub jego części bez pisemnej zgody DM BZ WBK S.A. jest zabronione. |
| --- |

Wybrane dla Ciebie
Nowa sieć stacji paliw wchodzi do Polski. Debiut jeszcze w tym roku
Nowa sieć stacji paliw wchodzi do Polski. Debiut jeszcze w tym roku
To koniec słynnego ośrodka narciarskiego w Polsce. Idzie na sprzedaż
To koniec słynnego ośrodka narciarskiego w Polsce. Idzie na sprzedaż
Gigant w Niemczech zamyka centrum logistyczne. Pracę straci 2,7 tys. osób
Gigant w Niemczech zamyka centrum logistyczne. Pracę straci 2,7 tys. osób
Wysłali cebulę do Polski. Zarobili ok. 200 mln zł. Oto skąd pochodzi
Wysłali cebulę do Polski. Zarobili ok. 200 mln zł. Oto skąd pochodzi
Dostają mniej niż 500 zł emerytury. Problem tysięcy Polaków
Dostają mniej niż 500 zł emerytury. Problem tysięcy Polaków
Ile zarabia się w Niemczech? W tej branży płacą 37 tys. zł miesięcznie
Ile zarabia się w Niemczech? W tej branży płacą 37 tys. zł miesięcznie
Choinkę wyrzuć do konkretnego pojemnika. Wiedziałeś o tym?
Choinkę wyrzuć do konkretnego pojemnika. Wiedziałeś o tym?
Kiedyś byli gigantami fast food. Zamknęli ponad 1 tys. lokali
Kiedyś byli gigantami fast food. Zamknęli ponad 1 tys. lokali
Mieszkańcy są wściekli na Rydzyka. Opłaty na osiedlu w górę
Mieszkańcy są wściekli na Rydzyka. Opłaty na osiedlu w górę
Polacy kochają jej smak. Uwielbiana ryba jest coraz droższa
Polacy kochają jej smak. Uwielbiana ryba jest coraz droższa
Afera w Dino. Takie wytyczne mieli otrzymać pracownicy ws. urlopów
Afera w Dino. Takie wytyczne mieli otrzymać pracownicy ws. urlopów
Nawet 18 tys. zł miesięcznie. Czeski przewoźnik kusi zarobkami
Nawet 18 tys. zł miesięcznie. Czeski przewoźnik kusi zarobkami
NIE WYCHODŹ JESZCZE! MAMY COŚ SPECJALNIE DLA CIEBIE 🎯